Loading...
シミュレーション&最適設計
プラスチック(樹脂)の力学的挙動を正確に再現できます。
- プラスチックの特殊材料試験で得られる試験データをインプットとして、製品レベルの衝撃・破壊挙動を忠実に再現可能です。
- 樹脂の粘性効果によるエネルギ損失を考慮することにより、樹脂部品の制振性・制音性の評価が可能です。
特長
プラスチックに特有な性質を考慮した材料モデルをご提供可能です。
考慮可能な力学的な現象
考慮可能な性質 | 効果 |
---|---|
ひずみ速度依存性 | 温度や変形速度による材料の硬化(軟化)を考慮した解析が可能になります |
微視損傷(クレーズ) | 破壊形態や破壊時の力学応答(エネルギ吸収量)の予測に効果的です |
非共軸性 | 破壊位置と破壊進展方向を正確に予測できます |
静水圧依存性 (応力非対称) | 圧縮と引張で異なる力学応答を再現できるため、衝突時に複雑な応力状態になる部材の解析精度が向上します |
成形誘起異方性 | 強化材の配向に起因した異方性、樹脂の成形時の流動に起因する異方性を考慮できるため、応力解析の精度が向上します |
粘性(エネルギ損失) | 樹脂成形品の制振性・制音性の評価が出来ます |
仕様
受託解析
材料モデルのサブルーチンでのご提供
- ご利用形態1.年間ライセンス
- 無償トライアル
-
無償で1ヶ月、樹脂材料モデルをお試しいただけます。
【試用条件】 下記を満たす計算機1台。OS Red Hat Enterprise Linux FEMソルバ 弊社指定の商用FEMソルバ その他条件 USBドングルにより稼働マシンを1台に限定させていただきます。 ※試用期間終了後、簡単なアンケートへのご回答をお願い致します。
- ご利用形態2.他、応相談
適用事例
- ■HIPS(ハイ・インパクト・ポリスチレン)
- ■PP(ポリプロピレン)
- ■PA(ポリアミド) etc..
衝撃解析の適用例
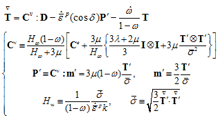
材料モデル
- ■樹脂材料に特有の微視損傷(クレーズ)を考慮した材料構成則
- ■衝撃系汎用ソルバーのユーザーサブルーチンとして利用可能
微視損傷を考慮した樹脂用材料構成則
微視的損傷の模式図
フィブリル クレイズ、ボイド
最大応力位置の移動
適用例
樹脂材料の損傷部位・損傷形態の正確な予測と力学的応答を高精度に再現
高速打ち抜き試験における損傷予測
実際の試験片
従来の材料モデル
開発モデル
脚部インパクターの衝突試験
実験
シミュレーション
インパクターの減速度時刻歴
制振・制音評価解析への適用例
透過音解析
中央に球音源
周りに遮音板
1/8モデル
エネルギ損失による制音・制振性
樹脂の制音効果(音場-構造連成解析);金属との比較
※10dB : 約3.2倍制音性向上